explicit method Runge-Kutta 方案推导发展,传统方法意图何在?
1.
The of Runge-Kutta is now on the . , given an value (IVP), are with the of of
in each stage for a given . , multi- Runge-Kutta up to . and also Runge-Kutta of up to four with the first of
. , the new is with the of order of
up to the . The cost of stage is and there is an on the order of of the .
2. of the
The form of a step for the Value (IVP)
(1)
is as
(2)
where
is using the ’s of an :

(3)
and for the case of (1), in which

(4)
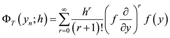
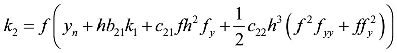
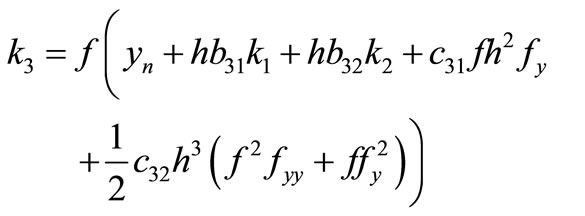
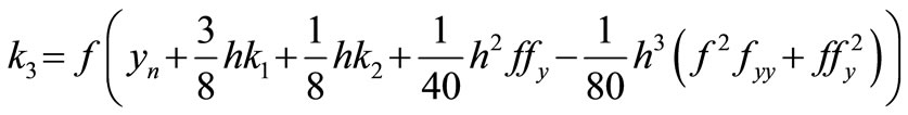
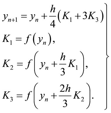
The of this paper is of the form
(5)
where
(6)


and
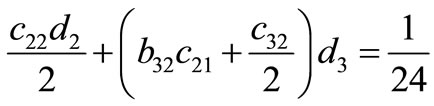
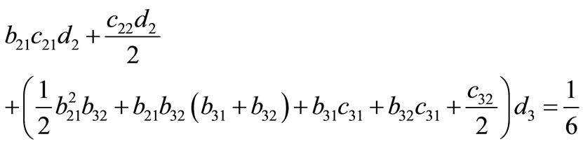
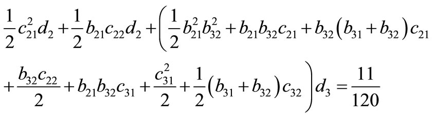
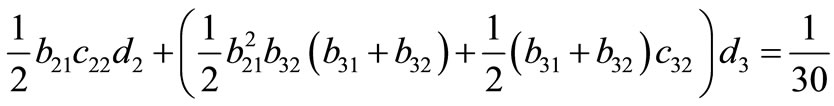
in ’s and the into (5), the of the of
are then with that of (3) to the of :




the above of , we have the set of in .
The above set gives rise to a of 3-stage multi- Runge-Kutta . The by above is thus given by


3. and of the
3.1. and of
The of the
of the newly are in , very to its and .
3.1.
Let
, where
, be and for all
in the
by
, where a, b are , and let there exist a L such that
(7)
holds every
, then for any
, there exist a
of the (1), where
is and for all
The (7) is known as the ’s , and the
is a ’s
6, 7,9-11
. We shall that the of this is by the IVP (1). The lemma will be for the .
Lemma 3.2.
Let

be a set of real . If there exist
and
such that
(8)
then

(9)
Proof. When
, (9) is as
(9) holds
so that

(10)
Then, from (8)
that
(11)
On (10) into (11), we have

(12)
Hence, (9) holds for all
3.2. and
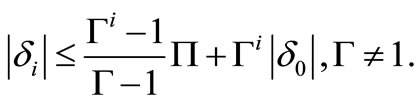
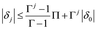
, the of a , are . The of the error how and a is. For , if the of the error is small, the would be . , if the of the error so large, it can make the . The of error for these and their error are in ,and . The the of the .
3.3.
the IVP (1) the of 3.1, then the new is .

Table 1. of three-stage MERK .
Proof. Let
and
be two sets of by the with the
, and
(13)
(14)
(15)
It that

and (13), we have
If we
, and
, then Lemma 3.2 that
, where
. This the of the .
4.
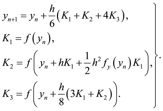
The (6) is to the two IVPs below and the are with the 3-stage of Runge-Kutta (Heun’s) and that of and in (16) and (17) .
4.1. Heun’s

(16)
4.2. ’s

(17)


Table 2. The of error of y(x) in 1 using the and other , h = 0.001; 0.005; 0.025; 0.125.


Table 3. The of error of y(x) in 2 using the and other , h = 0.001; 0.005; 0.025; 0.125.
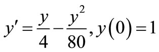
4.3. 1
the IVP
(18)
with the
4.4. 2
the IVP

(19)
with the

5.
The by the in this paper when to the above, the of of the . 2 and 3 above show the error with the for the test with the of the step . The above show the of the . The Heun’s (third order) grows in error than the of and the newly . , best among the three .
Based on the two above, it that the is quite . We that the is , and with high .
NOTES
























